Κόσμος

Πανικός στην Ευρώπη μετά τον αιφνιδιασμό Τραμπ: «Συνθηκολόγηση» Ζελένσκι μέχρι 27/11 θέλουν οι ΗΠΑ, σαμποτάζ ψάχνουν οι «απρόθυμοι» για ειρήνη

Οι ευρωπαϊκές πρωτεύουσες σπεύδουν να συντονίσουν την απάντησή τους στο αμερικανο-ρωσικό ειρηνευτικό σχέδιο για τον τερματισμό του πολέμου στην Ουκρανία, το οποίο, όπως προειδοποιούν αξιωματούχοι, θα σήμαινε τη «συνθηκολόγηση» του Κιέβου στις απαιτήσεις της Μόσχας, την ώρα που η Ουάσιγκτον πιέζει τον Ζελένσκι να αποδεχτεί τα 28 σημεία που συντάχθηκαν από τους βοηθούς του Ντόναλντ Τραμπ και Βλαντιμίρ Πούτιν.

Οι Ηνωμένες Πολιτείες απείλησαν να μειώσουν την ανταλλαγή πληροφοριών και την προμήθεια όπλων προς την Ουκρανία, προκειμένου να την πιέσουν να συμφωνήσει στο πλαίσιο μιας ειρηνευτικής συμφωνίας που θα επιτευχθεί με τη μεσολάβηση των ΗΠΑ, δήλωσαν στο Reuters δύο άτομα που γνωρίζουν το θέμα.

Η Ουάσινγκτον παρουσίασε στην Ουκρανία ένα σχέδιο 28 σημείων, το οποίο υποστηρίζει ορισμένες από τις κύριες απαιτήσεις της Ρωσίας στον πόλεμο, συμπεριλαμβανομένης της παραχώρησης εδαφών από το Κίεβο, του περιορισμού του μεγέθους του στρατού της και της απαγόρευσης οποιασδήποτε μελλοντικής ένταξης της Ουκρανίας στο ΝΑΤΟ.

Οι πηγές, μιλώντας υπό τον όρο της ανωνυμίας, δήλωσαν ότι το Κίεβο δέχεται μεγαλύτερη πίεση από την Ουάσινγκτον από ό,τι κατά τη διάρκεια προηγούμενων ειρηνευτικών συζητήσεων και ότι οι ΗΠΑ θέλουν η Ουκρανία να υπογράψει ένα πλαίσιο της συμφωνίας μέχρι την επόμενη Πέμπτη 27 Νοεμβρίου.

Μια αντιπροσωπεία ανώτερων στρατιωτικών αξιωματούχων των ΗΠΑ συναντήθηκε με τον Πρόεδρο Βολοντίμιρ Ζελένσκι στο Κίεβο την Πέμπτη. Ο πρέσβης των ΗΠΑ στην Ουκρανία και ο επικεφαλής δημοσίων σχέσεων του στρατού που ταξίδευε με την αντιπροσωπεία χαρακτήρισαν τη συνάντηση επιτυχημένη και δήλωσαν ότι η Ουάσινγκτον επιδίωξε ένα «επιθετικό χρονοδιάγραμμα» για την υπογραφή ενός εγγράφου μεταξύ των ΗΠΑ και της Ουκρανίας.

Ο Ζελένσκι, ο οποίος είχε τηλεφωνική επικοινωνία την Παρασκευή με τους ηγέτες της Βρετανίας, Γερμανίας και Γαλλίας, φάνηκε προσεκτικός ώστε να μην απορρίψει το αμερικανικό σχέδιο ή να προσβάλει τους Αμερικανούς.

«Εκτιμούμε τις προσπάθειες των Ηνωμένων Πολιτειών, του Προέδρου Τραμπ και της ομάδας του που στοχεύουν στον τερματισμό αυτού του πολέμου. Εργαζόμαστε πάνω στο έγγραφο που ετοίμασε η αμερικανική πλευρά. Αυτό πρέπει να είναι ένα σχέδιο που να διασφαλίζει μια πραγματική και αξιοπρεπή ειρήνη», είπε.

Η Ευρώπη λέει ότι έχει δικό της σχέδιο… τον πόλεμο

Οι Ευρωπαίοι ηγέτες, οι οποίοι δεν συμμετείχαν στη σύνταξη του σχεδίου των 28 σημείων, εξέφρασαν την ισχυρή τους υποστήριξη στο Κίεβο.

Το σχέδιο της Ευρώπης αποτελούνταν από δύο σημεία, δήλωσε η Κάγια Κάλας: αποδυνάμωση της Ρωσίας και… υποστήριξη της Ουκρανίας. Συνέχιση του πολέμου δηλαδή…

Η ΕΕ και η Ουκρανία θέλουν ειρήνη, αλλά δεν θα ενδώσουν στην επιθετικότητα της Ρωσίας, διεμήνυσε σε νέο μήνυμά της.

«Αυτή είναι μια πολύ επικίνδυνη στιγμή για όλους», ξεκαθάρισε η Κάλας στους δημοσιογράφους. «Όλοι θέλουμε να τελειώσει αυτός ο πόλεμος, αλλά το πώς θα τελειώσει έχει σημασία. Η Ρωσία δεν έχει κανένα νόμιμο δικαίωμα σε οποιεσδήποτε παραχωρήσεις από τη χώρα στην οποία εισέβαλε, τελικά οι όροι οποιασδήποτε συμφωνίας εναπόκεινται στην κρίση της Ουκρανίας».

Αμερικανοί αξιωματούχοι, υπερασπιζόμενοι το σχέδιό τους, δήλωσαν ότι συντάχθηκε μετά από διαβουλεύσεις με τον Ρουστέμ Ούμεροφ, γραμματέα του Συμβουλίου Εθνικής Ασφάλειας και Άμυνας της Ουκρανίας, στενό σύμμαχο του Ζελένσκι, ο οποίος διετέλεσε υπουργός Άμυνας μέχρι τον Ιούλιο.

«Αυτό το σχέδιο καταρτίστηκε μετά από συζητήσεις με ένα από τα ανώτερα μέλη της κυβέρνησης του Προέδρου Ζελένσκι, τον Ρουστέμ Ούμεροφ, ο οποίος συμφώνησε με το μεγαλύτερο μέρος του σχεδίου, αφού έκανε αρκετές τροποποιήσεις, και το παρουσίασε στον Πρόεδρο Ζελένσκι», δήλωσε την Πέμπτη ανώτερος Αμερικανός αξιωματούχος.

Αλλά ο Ούμεροφ… άλλαξε γνώμη την Παρασκευή και δήλωσε ότι δεν είχε συζητήσει τους όρους του σχεδίου, πόσο μάλλον να τους εγκρίνει.

Αφού συνάντησε μια αμερικανική αντιπροσωπεία την Παρασκευή, ο Ούμεροφ δήλωσε ότι το Κίεβο δεν θα δεχτεί ένα σχέδιο που παραβιάζει την κυριαρχία του.

Το Κρεμλίνο δήλωσε ότι η Ρωσία δεν έχει λάβει καμία επίσημη ενημέρωση από τις Ηνωμένες Πολιτείες σχετικά με το σχέδιο. Το Κίεβο θα πρέπει να λάβει μια «υπεύθυνη απόφαση» και να το κάνει τώρα, δήλωσε ο εκπρόσωπος του Κρεμλίνου Ντμίτρι Πεσκόφ.

Πανικός στην Ευρώπη

Το σχέδιο και η κλίμακα της πίεσης που ασκούν οι ΗΠΑ στην Ουκρανία έχουν αιφνιδιάσει τους Ευρωπαίους ηγέτες και τις ομάδες εθνικής ασφάλειάς τους, σύμφωνα με άτομα που συμμετέχουν στις έντονες διπλωματικές συνομιλίες.

«Όλοι το αναλύουμε ακόμα, αλλά εξελίσσεται πολύ πιο γρήγορα από ό,τι είχαμε συνειδητοποιήσει», είπε ένα από τα άτομα. «Στην ουσία, σημαίνει συνθηκολόγηση».

Τρεις ανώτεροι Ευρωπαίοι αξιωματούχοι δήλωσαν ότι εξακολουθούν να μην είναι σίγουροι αν ο Τραμπ υποστηρίζει πλήρως το σχέδιο ή αν αυτό αποτελεί αντικείμενο εσωτερικών διαφωνιών εντός της κυβέρνησής του.

«Επιστρέψαμε στο σημείο εκκίνησης», δήλωσε ένας άλλος ανώτερος Ευρωπαίος αξιωματούχος, αναφερόμενος στους διαδεδομένους φόβους στις αρχές του έτους ότι ο Τραμπ θα ανάγκαζε το Κίεβο να αποδεχτεί τις ειρηνευτικές απαιτήσεις της Ρωσίας ή να χάσει την αμερικανική στρατιωτική υποστήριξη.

Οι Ευρωπαίοι αξιωματούχοι έχουν ανησυχήσει όχι μόνο από τις εδαφικές απαιτήσεις έναντι της Ουκρανίας, αλλά και από την πρόταση απαγόρευσης της στάθμευσης δυνάμεων του ΝΑΤΟ στην Ουκρανία και την έκκληση για την αξιοποίηση 100 δισ. δολαρίων από τα παγωμένα ρωσικά κρατικά περιουσιακά στοιχεία σε έργα ανασυγκρότησης από τα οποία θα επωφεληθούν οι ΗΠΑ.

Η ευρωπαϊκή προσπάθεια να επιβραδύνει ή να μπλοκάρει την πρόταση των ΗΠΑ και της Ρωσίας έχει περιπλακεί από το γεγονός ότι οι ηγέτες της Γαλλίας, της Γερμανίας, της Ιταλίας και του Ηνωμένου Βασιλείου ταξιδεύουν στη Νότια Αφρική για τη σύνοδο κορυφής της G20 αυτό το Σαββατοκύριακο.

Αξιωματούχοι ανέφεραν ότι προγραμματίζεται έκτακτη συνάντηση των Ευρωπαίων ηγετών που βρίσκονται στο Γιοχάνεσμπουργκ για τη Σύνοδο, το Σάββατο.

Επείγουσα τηλεδιάσκεψη με τον Ουκρανό πρόεδρο Βολοντίμιρ Ζελένσκι θα έχουν σήμερα Ευρωπαίοι ηγέτες σχετικά με το σχέδιο ΗΠΑ-Ρωσίας για τον τερματισμό του πολέμου στην Ουκρανία, το οποίο προβλέπει επώδυνες παραχωρήσεις από το Κίεβο.

Ο Γερμανός καγκελάριος Φρίντριχ Μετρς ακύρωσε το σημερινό πρόγραμμά του προκειμένου να συμμετάσχει στην τηλεδιάσκεψη με τον Ουκρανό πρόεδρο, στην οποία θα μετέχουν επίσης ο πρόεδρος της Γαλλίας Εμανουέλ Μακρόν και ο πρωθυπουργός του Ηνωμένου Βασιλείου Κιρ Στάρμερ, όπως δήλωσαν στο Reuters δύο αξιωματούχοι.

Η επικοινωνία αναμένεται να λάβει χώρα το μεσημέρι, σύμφωνα με αξιωματούχο της ουκρανικής προεδρίας που επικαλείται το Γαλλικό Πρακτορείο.

Ο Αντόνιο Κόστα, πρόεδρος του Συμβουλίου της ΕΕ που εκπροσωπεί τους 27 ηγέτες της Ένωσης, δήλωσε ότι «δεν έχει κοινοποιηθεί επίσημα κανένα σχέδιο [ειρήνης]».

Ένας εκπρόσωπος της γερμανικής κυβέρνησης πρόσθεσε: «Αυτή η ειρήνη μπορεί να είναι δίκαιη μόνο αν επιτευχθεί σε συμφωνία με τους Ευρωπαίους».

Ο πανικός στις ευρωπαϊκές πρωτεύουσες θύμισε προηγούμενα επεισόδια νωρίτερα φέτος, όταν η κυβέρνηση Τραμπ υπέβαλε προτάσεις στην Ουκρανία χωρίς να συμβουλευτεί ή να ενημερώσει τους Ευρωπαίους εταίρους.

Το σχέδιο

Το σχέδιο, αντίγραφο του οποίου εξετάστηκε από το Reuters, περιλαμβάνει όρους που Ουκρανοί αξιωματούχοι έχουν απορρίψει προηγουμένως ως ισοδύναμους με παράδοση.

Θα απαιτούσε από την Ουκρανία να αποσυρθεί από εδάφη που εξακολουθεί να ελέγχει στις ανατολικές επαρχίες, τα οποία η Ρωσία υποστηρίζει πως έχει προσαρτήσει, ενώ η Μόσχα θα παραχωρούσε μικρότερα εδάφη που έχει καταλάβει σε άλλες περιοχές.

Η Ουκρανία θα αποκλειστεί οριστικά από την ένταξη στη στρατιωτική συμμαχία του ΝΑΤΟ και οι ένοπλες δυνάμεις της θα περιορίζονταν σε 600.000 στρατιώτες. Το ΝΑΤΟ θα συμφωνούσε να μην εγκαταστήσει ποτέ στρατεύματα εκεί.

Οι κυρώσεις κατά της Ρωσίας θα αρθούν σταδιακά, η Μόσχα θα προσκληθεί ξανά στην ομάδα G8 και τα παγωμένα ρωσικά περιουσιακά στοιχεία θα συγκεντρωθούν σε ένα επενδυτικό ταμείο, με την Ουάσιγκτον να λαμβάνει μέρος των κερδών.

Μία από τις κύριες απαιτήσεις της Ουκρανίας, για εγγυήσεις ισοδύναμες με τη ρήτρα αμοιβαίας άμυνας της συμμαχίας του ΝΑΤΟ, ώστε να αποτραπεί η Ρωσία από το να επιτεθεί ξανά, αντιμετωπίζεται σε μία μόνο γραμμή χωρίς λεπτομέρειες: «Η Ουκρανία θα λάβει ισχυρές εγγυήσεις ασφαλείας».

Ο Τραμπ, ο οποίος επέστρεψε στο αξίωμα φέτος δεσμευόμενος να τερματίσει γρήγορα τον πόλεμο, έχει αποδεχτεί ορισμένες από τις αιτίες της Ρωσίας για την εισβολή της στη γειτονική της χώρα το 2022.

Τον περασμένο μήνα ακύρωσε μια προτεινόμενη σύνοδο κορυφής με τον Ρώσο πρόεδρο Βλαντιμίρ Πούτιν και επέβαλε κυρώσεις στις δύο κύριες πετρελαϊκές εταιρείες της Ρωσίας, οι οποίες αναμένεται να τεθούν σε πλήρη ισχύ την Παρασκευή, την προθεσμία της Ουάσιγκτον για τους ξένους αγοραστές να σταματήσουν τις αγορές ρωσικού πετρελαίου.

Η γραμματέας Τύπου του Λευκού Οίκου Καρολίν Λίβιτ δήλωσε σε ενημέρωση των δημοσιογράφων ότι ο υπουργός Εξωτερικών Μάρκο Ρούμπιο και ο ειδικός απεσταλμένος των ΗΠΑ Στιβ Γουίτκοφ εργάστηκαν σιωπηλά πάνω στο σχέδιο για περίπου ένα μήνα.

«Αυτό το σχέδιο καταρτίστηκε για να αντικατοπτρίζει την πραγματικότητα της κατάστασης, μετά από πέντε χρόνια ενός καταστροφικού πολέμου, για να βρεθεί το καλύτερο σενάριο win-win, όπου και τα δύο μέρη κερδίζουν περισσότερα από όσα πρέπει να δώσουν», είπε. Η επιτάχυνση της αμερικανικής διπλωματίας έρχεται σε μια εποχή που τα ουκρανικά στρατεύματα βρίσκονται σε οπισθοδρόμηση στο πεδίο της μάχης και η κυβέρνηση Ζελένσκι έχει υπονομευτεί από ένα σκάνδαλο διαφθοράς. Το κοινοβούλιο απέλυσε δύο υπουργούς την Τετάρτη.

Με τον τέταρτο χειμώνα του πολέμου να πλησιάζει, τα ρωσικά στρατεύματα καταλαμβάνουν σχεδόν το ένα πέμπτο της Ουκρανίας και προχωρούν κατά μήκος μιας πρώτης γραμμής μήκους 1.200 χιλιομέτρων (750 μιλίων).

Η Ρωσία λέει ότι έχει πάρει τον έλεγχο της πόλης Κουπιάνσκ στη βορειοανατολική Ουκρανία και του μεγαλύτερου μέρους του Ποκρόφσκ στα ανατολικά, τα πρώτα μεγάλα κέρδη της εδώ και σχεδόν δύο χρόνια. Το Κίεβο αρνείται ότι έχασε τον έλεγχο αυτών των πόλεων, αλλά παραδέχτηκε ότι η Ρωσία προελαύνει.

Αναλυτικά το κείμενο προσχεδίου των 28 σημείων

Αναλυτικά τα 28 σημεία:

1. Επαναβεβαίωση της κυριαρχίας της Ουκρανίας.

2. Πλήρης και ολοκληρωμένη συμφωνία μη επίθεσης μεταξύ Ρωσίας, Ουκρανίας και Ευρώπης. Όλες οι ασάφειες των τελευταίων 30 ετών θα θεωρηθούν ότι έχουν διευθετηθεί.

3. Επέκταση της προσδοκίας ότι η Ρωσία δεν θα εισβάλλει στους γείτονές της και ότι το ΝΑΤΟ δεν θα επεκταθεί περαιτέρω.

4. Διάλογος Ρωσίας και ΝΑΤΟ με τη διαμεσολάβηση των ΗΠΑ, προκειμένου να αντιμετωπιστούν οι ανησυχίες ασφαλείας και να δημιουργήσει ένα περιβάλλον αποκλιμάκωσης, ώστε να διασφαλιστεί η παγκόσμια ασφάλεια και να αυξηθούν οι δυνατότητες συνδεσιμότητας και μελλοντικών οικονομικών ευκαιριών.

5. Ισχυρές εγγυήσεις ασφαλείας στην Ουκρανία.

6. Το μέγεθος των Ενόπλων Δυνάμεων της Ουκρανίας θα περιοριστεί σε ανώτατο όριο 600.000 στρατιωτών.

7. Η Ουκρανία συμφωνεί να κατοχυρώσει στο Σύνταγμά της ότι δεν θα ενταχθεί στο ΝΑΤΟ, και το ΝΑΤΟ συμφωνεί να τροποποιήσει τους κανονισμούς του ώστε να μην αποδεχτεί την Ουκρανία σε οποιαδήποτε χρονική στιγμή στο μέλλον.

8. Το ΝΑΤΟ συμφωνεί να μην σταθμεύσει στρατεύματα στην Ουκρανία.

9. Ευρωπαϊκά μαχητικά αεροσκάφη θα σταθμεύσουν στην Πολωνία.

10. Οι εγγυήσεις των ΗΠΑ:
α. Οι ΗΠΑ θα λάβουν αποζημίωση για την παροχή της εγγύησης.
β. Αν η Ουκρανία εισβάλει στη Ρωσία, χάνουν την εγγύηση.
γ. Αν η Ρωσία εισβάλει στην Ουκρανία, πέρα από μια ισχυρή, συντονισμένη στρατιωτική απάντηση, όλες οι παγκόσμιες κυρώσεις θα επανέλθουν και η αναγνώριση νέων εδαφών καθώς και όλα τα άλλα οφέλη από αυτή τη συμφωνία θα αποσυρθούν.
δ. Αν η Ουκρανία εκτοξεύσει πύραυλο προς τη Μόσχα ή την Αγία Πετρούπολη, τότε η εγγύηση ασφαλείας θα θεωρείται άκυρη.

11. Η Ουκρανία είναι επιλέξιμη για ένταξη στην ΕΕ και θα λάβει βραχυπρόθεσμη προτιμησιακή πρόσβαση στην ευρωπαϊκή αγορά, όσο αξιολογείται το ζήτημα αυτό.

12. Ισχυρό Παγκόσμιο Πακέτο Ανασυγκρότησης για την Ουκρανία, που θα περιλαμβάνει μεταξύ άλλων:

α. Δημιουργία Ταμείου Ανάπτυξης Ουκρανίας για επενδύσεις σε ταχέως αναπτυσσόμενους κλάδους, όπως τεχνολογία, data centers και έργα τεχνητής νοημοσύνης. 
β. Οι Ηνωμένες Πολιτείες θα συνεργαστούν με την Ουκρανία για την από κοινού αποκατάσταση, ανάπτυξη, εκσυγχρονισμό και λειτουργία της ουκρανικής υποδομής φυσικού αερίου, συμπεριλαμβανομένων αγωγών και εγκαταστάσεων αποθήκευσης. 
γ. Κοινή προσπάθεια ανοικοδόμησης των περιοχών που επλήγησαν από τον πόλεμο, αποκατάσταση, ανασυγκρότηση και εκσυγχρονισμός πόλεων και οικιστικών περιοχών. 
δ. Ανάπτυξη υποδομών.
ε. Εξόρυξη ορυκτών και φυσικών πόρων. 

στ. Η Παγκόσμια Τράπεζα θα αναπτύξει ειδικό χρηματοδοτικό πακέτο για την επιτάχυνση αυτών των δράσεων.

13. Η Ρωσία θα επανενταχθεί στην παγκόσμια οικονομία: 
α. Η άρση των κυρώσεων θα συζητείται και θα συμφωνείται σταδιακά και κατά περίπτωση. 
β. Οι Ηνωμένες Πολιτείες θα συνάψουν μακροπρόθεσμη Συμφωνία Οικονομικής Συνεργασίας με τη Ρωσία για την από κοινού ανάπτυξη στους τομείς της ενέργειας, των φυσικών πόρων, των υποδομών, της τεχνητής νοημοσύνης, των data centers, των έργων σπάνιων γαιών στην Αρκτική, καθώς και άλλων αμοιβαία επωφελών εταιρικών ευκαιριών. 
γ. Η Ρωσία θα προσκληθεί να επιστρέψει στην Ομάδα των Οκτώ (G8).

14. Η χρήση των δεσμευμένων (παγωμένων) ρωσικών κεφαλαίων θα γίνει ως εξής:
-100 δισ. δολάρια από τα δεσμευμένα ρωσικά κεφάλαια θα επενδυθούν σε μια πρωτοβουλία ανοικοδόμησης και επενδύσεων στην Ουκρανία υπό αμερικανική ηγεσία. 
-Οι ΗΠΑ θα λαμβάνουν το 50% των κερδών από αυτή την επένδυση. 
-Η Ευρώπη θα συνεισφέρει επιπλέον 100 δισ. δολάρια, ώστε να αυξηθούν τα διαθέσιμα κεφάλαια για την ανοικοδόμηση της Ουκρανίας. 
-Τα ευρωπαϊκά δεσμευμένα κεφάλαια της Ρωσίας θα αποδεσμευτούν. 
-Το υπόλοιπο των δεσμευμένων ρωσικών κεφαλαίων θα επενδυθεί σε ένα ξεχωριστό κοινό επενδυτικό σχήμα ΗΠΑ-Ρωσίας, το οποίο θα υλοποιεί κοινά έργα σε τομείς που θα καθοριστούν. Στόχος είναι η ενίσχυση των σχέσεων και η δημιουργία κοινών συμφερόντων που θα λειτουργούν αποτρεπτικά για μελλοντικές συγκρούσεις.

15. Θα δημιουργηθεί κοινή Ομάδα Ασφαλείας ΗΠΑ-Ρωσίας για την προώθηση και επιβολή της συμμόρφωσης με όλες τις πρόνοιες της συμφωνίας.

16. Η Ρωσία θα θεσπίσει νομοθετικά πολιτική μη επιθετικότητας προς την Ευρώπη και την Ουκρανία.

17. Οι ΗΠΑ και η Ρωσία θα συμφωνήσουν στην επέκταση των συνθηκών ελέγχου πυρηνικής μη διάδοσης, συμπεριλαμβανομένης της Συνθήκης START I.

18. Η Ουκρανία συμφωνεί να παραμείνει μη πυρηνικό κράτος στο πλαίσιο της Συνθήκης για τη Μη Διάδοση των Πυρηνικών Όπλων (NPT).

19. Ο Πυρηνικός Σταθμός της Ζαπορίζια θα επαναλειτουργήσει υπό επίβλεψη του IAEA, και η παραγόμενη ενέργεια θα κατανέμεται ισότιμα (50%-50%) μεταξύ Ρωσίας και Ουκρανίας.

20. Οι δύο χώρες δεσμεύονται στην ανάπτυξη εκπαιδευτικών προγραμμάτων στα σχολεία και στην κοινωνία, που θα προάγουν την κατανόηση και την ανεκτικότητα διαφορετικών πολιτισμών και θα εξαλείφουν τον ρατσισμό και τις προκαταλήψεις: 
α. Η Ουκρανία θα υιοθετήσει τους κανόνες της ΕΕ σχετικά με τη θρησκευτική ανεκτικότητα και την προστασία των γλωσσικών μειονοτήτων.
 β. Και οι δύο χώρες συμφωνούν να καταργήσουν όλα τα διακριτικά μέτρα και να εγγυηθούν τα δικαιώματα των ουκρανικών και ρωσικών ΜΜΕ και της εκπαίδευσης. 
γ. Κάθε ναζιστική ιδεολογία ή δραστηριότητα θα αποκηρυχθεί και θα απαγορευτεί.

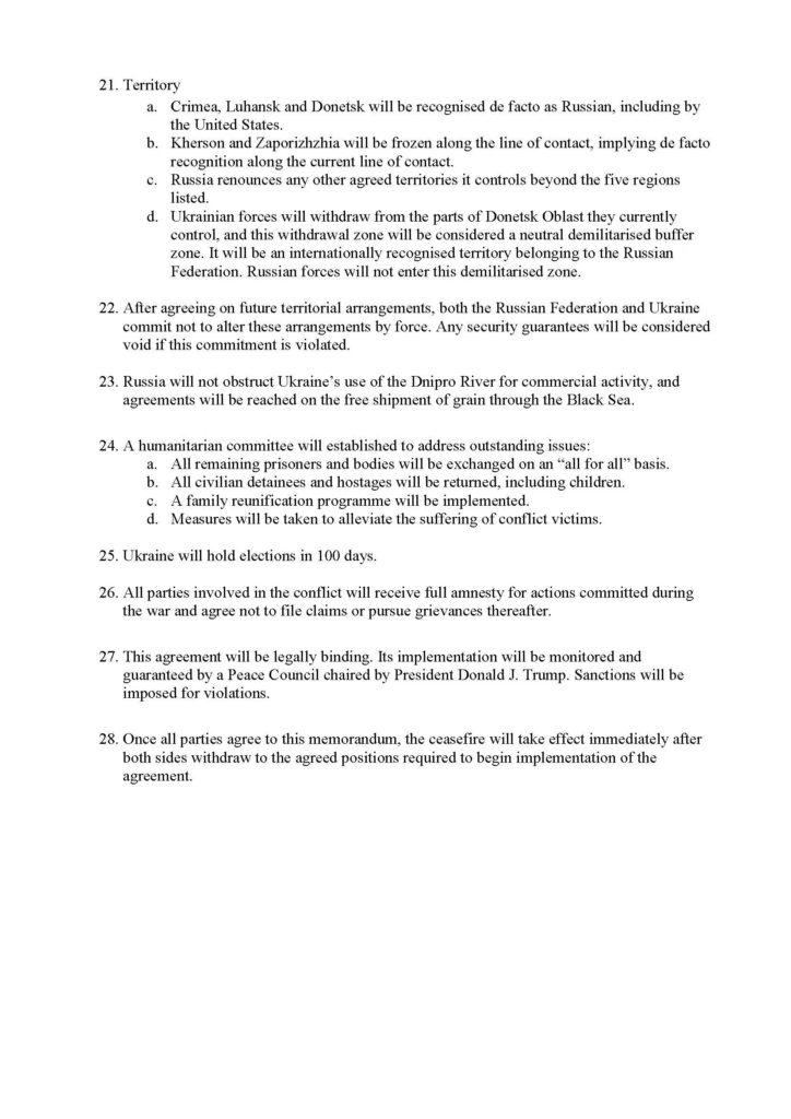
21. Εδαφικά ζητήματα: 
α. Η Κριμαία, το Λουγκάνσκ και το Ντονέτσκ θα αναγνωριστούν ντε φάκτο ως ρωσικά, συμπεριλαμβανομένων από τις ΗΠΑ. 
β. Οι περιοχές Χερσώνα και Ζαπορίζια θα παγώσουν στη γραμμή επαφής, που θα σημαίνει ντε φάκτο αναγνώριση της γραμμής επαφής. 
γ. Η Ρωσία θα εγκαταλείψει άλλα συμφωνημένα εδάφη που ελέγχει εκτός των πέντε συγκεκριμένων περιοχών. 
δ. Οι ουκρανικές δυνάμεις θα αποσυρθούν από το τμήμα της περιφέρειας Ντονέτσκ που ελέγχουν σήμερα, και η περιοχή αυτή θα χαρακτηριστεί ουδέτερη αποστρατιωτικοποιημένη ζώνη, διεθνώς αναγνωρισμένη ως έδαφος της Ρωσικής Ομοσπονδίας. Οι ρωσικές δυνάμεις δεν θα εισέλθουν στη ζώνη αυτή.

22. Μόλις συμφωνηθούν οι μελλοντικές εδαφικές ρυθμίσεις, τόσο η Ρωσία όσο και η Ουκρανία δεσμεύονται να μην τις αλλάξουν με τη χρήση βίας. Τυχόν εγγυήσεις ασφαλείας δεν θα ισχύουν σε περίπτωση παραβίασης αυτής της υποχρέωσης.

23. Η Ρωσία δεν θα παρεμποδίζει τη χρήση του ποταμού Δνείπερου από την Ουκρανία για εμπορικούς σκοπούς και θα επιτευχθούν συμφωνίες για την ελεύθερη μετακίνηση των φορτίων σιτηρών μέσω της Μαύρης Θάλασσας.

24. Θα συσταθεί ανθρωπιστική επιτροπή για την επίλυση εκκρεμών ζητημάτων: 
α. Όλοι οι εναπομείναντες αιχμάλωτοι και σοροί θα ανταλλαχθούν σύμφωνα με την αρχή «όλοι για όλους». 
β. Όλοι οι πολίτες κρατούμενοι και όμηροι θα επιστραφούν, συμπεριλαμβανομένων των παιδιών. 
γ. Θα υπάρξει πρόγραμμα επανένωσης οικογενειών. 
δ. Θα θεσπιστούν προβλέψεις για την αντιμετώπιση του πόνου και των απωλειών των θυμάτων της σύγκρουσης.

25. Η Ουκρανία θα διεξαγάγει εκλογές μέσα σε 100 ημέρες.

26. Όλα τα μέρη που εμπλέκονται στη σύγκρουση θα λάβουν πλήρη αμνηστία για ενέργειες που έγιναν κατά τη διάρκεια του πολέμου και συμφωνούν να μην εγείρουν μελλοντικές απαιτήσεις ή να επιδιώξουν περαιτέρω διευθετήσεις διαφορών.

27. Η συμφωνία αυτή θα είναι νομικά δεσμευτική. Η εφαρμογή της θα παρακολουθείται και θα διασφαλίζεται από ένα Συμβούλιο Ειρήνης, με πρόεδρο τον Ντόναλντ Τραμπ. Θα υπάρχουν κυρώσεις για τυχόν παραβίαση.

28. Μόλις όλα τα μέρη συμφωνήσουν στο μνημόνιο αυτό, η κατάπαυση του πυρός θα τεθεί άμεσα σε ισχύ, με τα δύο μέρη να αποσύρονται στα συμφωνημένα σημεία ώστε να ξεκινήσει η εφαρμογή της συμφωνίας

Διαβάστε επίσης:

Κρεμλίνο για αμερικανικό σχέδιο: Δεν έχουμε καμία ενημέρωση – Ασφυκτικό πρέσινγκ σε Ζελένσκι ενώ οι Ευρωπαίοι ψάχνουν χώρο στο τραπέζι της διαπραγμάτευσης

Την… πολυήμερη εμπειρία του από τη φυλακή αφηγείται ο Νικολά Σαρκοζί στο βιβλίο του – «Το ημερολόγιο ενός φυλακισμένου»

ΝΥΤ: Οι Ρεπουμπλικανοί στο Κογκρέσο δείχνουν τα πρώτα σημάδια της… μετά Τραμπ εποχής

Πηγή: ΚΟΣΜΟΣ | topontiki.gr

Back to top button